Другое дело, если в качестве облицовки используются алюминиевые композитные панели (АКП). Подробнее об этом материале можно узнать в статье Вентилируемый фасад из алюминиевых композитных панелей. Рассмотрим конкретный пример: двухэтажное офисное здание с фасадной системой, установленной без зазора и облицованной АКП. Плиты композита, плотно прилегая друг к другу, образуют единую непрерывную оболочку. Усугубляется это еще и отсутствием приточных и вытяжных отверстий (см. фото ниже). Утеплитель в такой конструкции практически закупорен под паронепроницаемым материалом. Правило расположение ограждающих слоев по увеличению паропроницаемости нарушено.ана.
Пословица
Относительно недавно на строительных площадках нашего города (как оказалось не только нашего) стали возводить фасадные системы по набору конструктивных элементов дублирующие вентилируемый фасад, но устанавливаемые без воздушного зазора. Несложно догадаться, что это обусловлено экономическими факторами – установка системы без зазора значительно сокращает металлоемкость подоблицовочной конструкции. В связи с тем, что возраст подобных систем небольшой (2-3 года), заказчики не успели в полной мере ощутить последствия отказа от устройства воздушной прослойки в навесном фасаде. Между тем, для человека хотя бы немного знакомого со строительной физикой эти последствия вполне очевидны.
Расчет защиты конструкций ограждения от переувлажнения приводится в СНиП 23-02-2003 «Тепловая защита зданий» (СП 50.13330.2012 «Тепловая защита зданий»). В отношении вентилируемых фасадов также применимы Рекомендации по проектированию навесных фасадных систем с воздушным зазором.
Расчет по СНиП заключается в определении сопротивления паропроницанию стены в пределах от внутренней поверхности до плоскости возможной конденсации, которое должно быть не менее наибольшего из двух значений: нормируемого сопротивления паропроницанию из условия ограничения влаги за годовой период эксплуатации (первая формула) и нормируемого сопротивления паропроницанию из условия ограничения влаги за период с отрицательными температурами (вторая формула). Данный расчет не учитывает работу вентилируемой прослойки, то есть выполняется при скорости воздуха в ней V=0. Соответственно если нормы СНиП выполняются в отсутствии воздухообмена, то защита конструкций от переувлажнения с учетом движения воздуха в зазоре гарантирована.
То есть теоретически установка «вентилируемого» фасада без зазора (псевдовентилируемого) вполне может обеспечить требуемый влажностный режим. Но в каких случаях?
Перейдем к формулам. По СНиП нормируемые сопротивления паропроницанию:

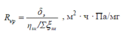
Не будем вдаваться в смысл каждого множителя формул, нас интересует значение R в числителе первой формулы — сопротивления паропроницания части стены от наружной поверхности до плоскости возможной конденсации. Это значение зависит от облицовочного материала и в общем виде (для сплошного материала) определяется по формуле:

где — в числителе толщина материала облицовки, в знаменателе — коэффициент паропроницаемости панели по СНиП 23-02 [4].
Рассмотрим вариант облицовки вентилируемого фасада плитами из керамогранита. Казалось бы, общее требование по расположению ограждающих конструкций изнутри помещения по уменьшению сопротивления паропроницаемости нарушено.
Сопротивление паропроницанию экрана:

То есть керамогранит – паронепроницаемый материал. Однако, между плитами керамогранита есть швы-зазоры, наличие которых учитывается расчетом паропроницаемости экрана по специальной методике.

Зачастую сопротивление паропроницанию защитного экрана из керамогранита позволяет добиться требуемого влажностного режима без учета вентиляции прослойки. НО такой вариант нужно обосновывать соответствующими расчетами в каждом отдельном случае.
Другое дело, если в качестве облицовки используются алюминиевые композитные панели (АКП). Подробнее об этом материале можно узнать в статье Вентилируемый фасад из алюминиевых композитных панелей. Рассмотрим конкретный пример: двухэтажное офисное здание с фасадной системой, установленной без зазора и облицованной АКП. Плиты композита, плотно прилегая друг к другу, образуют единую непрерывную оболочку. Усугубляется это еще и отсутствием приточных и вытяжных отверстий (см. фото ниже). Утеплитель в такой конструкции практически закупорен под паронепроницаемым материалом. Правило расположение ограждающих слоев по увеличению паропроницаемости нарушено.
Нормируемое сопротивление паропроницанию в этом случае заведомо более сопротивления от внутренней поверхности до плоскости возможной конденсации, требование СНиП не выполняется. Согласно рекомендациям в этом случае необходимо выполнить расчет вентиляции в воздушной прослойке, но ее нет! Как и прослойки. Положение усугубляется еще и отсутствием пароизоляционного материала перед утеплителем со стороны внутреннего объема (что характерно только для ВЕНТИЛИРУЕМЫХ фасадов). Влага в таком случае будет интенсивно скапливаться в утеплителе, что приведет к ухудшению теплотехнических качеств и скорому выходу теплоизоляции из строя. Профили и крепежные элементы (в случае выполнения из оцинкованной стали) постоянно подвергаясь воздействию влаги, в сочетании с загрязняющими элементами окружающей среды начнут корродировать.
Во сколько обойдется такая экономия на кронштейнах? Будем следить за развитием событий.
О конструктивных особенностях правильного устройства вентилируемых фасадов можно посмотреть в статье Узлы вентилируемых фасадов.

Автор: Антон Пахомов
